郑创学堂:功率分析仪带宽和采样率
什么是带宽
带宽是指在允许的衰减范围内模拟输入前端允许通过的最大频率信号的范围,在这个频率范围内,输入信号通过模拟前端幅值具有最小的衰减──从接线端子或测试设备到达 ADC 的输入端。带宽定义为正弦信号衰减为原振幅的0.707时的频率,也被称作-3dB频率。下图为 100 MHz 带宽的高速数据采集产品的典型输入频率响应曲线。
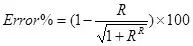
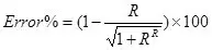
数据采集产品的带宽最好比被测量的信号中的最高频率值高 3 ~ 5 倍,以保证信号采样时具有最小的幅值误差(所需带宽= (3 ~ 5)×被测信号频率)。被测信号频率的理论振幅误差可以从数据采集板卡的带宽与输入信带宽之间的比例(R)计算得知。
例如,在使用 200KHz 高速数据采集产品测量 20KHz 正弦信号时(其频率比例 R=10),误差大约为 0.01%。
什么是采样率
采样率是测量一个或一组输入信号的速率。
采样率与模拟输入端的带宽参数并不直接相关。采样率是指信号经过模拟输入路径之后,ADC将输入信号转换为代表电压幅值的数字编码的速率,将模拟信号数字离散化的速度。这表示ADC是在模拟输入通道对信号进行了衰减/放大、以及/或者滤波处理之后,才对信号进行取样,并转换为数字编码。
功率分析仪带宽、采样率
功率分析仪带宽、采样率的选择与测量对象相关
功率分析仪的基本功能是一台多通道的高精度功率计,可以精确测量多相高电压和高电流,计算有功功率P、无功功率Q、视在功率S、功率因数、相位、能量累计等参数,通常用来测试发电机、电机、变频器、逆变器、变压器等功率转换装置的效率和功耗。功率分析仪是一种多功能仪器,除了对功率进行精确测量以外,还集合了数字示波器、谐波闪变仪,多种仪器功能。
带宽和采样率是功率分析仪比较重要的两个参数。功率分析仪带宽和采样率的选择与其应用范围、测量对象是相关的。
功率分析仪带宽和采样率选择一方面与输入信号的频率相关,另一方面与所需要测量输入信号的谐波次数相关。
对于电网信号的测量,电网信号频率大约为50Hz,属于低频信号。如果需要测量100次谐波,即5KHz信号,则采样率和带宽至少要高于10KHz。
对于基波为400Hz的变频器测量,信号频率为400Hz,如果需要测量50次谐波,即20KHz,则采样率和带宽至少要高于40KHz。
图1 功率分析仪采样过程
功率分析仪对输入信号进行采样,并对一段时间内的采样结果按照计算公式进行运算,得到电流、电压以及功率等参数,如上图所示。
功率分析仪的对输入信号的测量是一个稳态的过程:测量时必须分区间对测量数据进行处理,计算出计算结果。因此对于功率分析仪,在理论上,只要是有足够的计算区间,可以获取其带宽之内任意频率的输入信号的有效值等参数。
但是如果能够更好的显示输入信号波形的细节,则采样率越高会越好。在一般实际应用中保证采样频率为信号最高频率的5~10倍。
当被测信号频率低于采样率一半时,理论上功率分析仪可以有效还原被测信号的全部信息,获取其各种参数,但是当被测信号频率高于采样率一半时,此时由于混叠的存在,导致功率分析仪无法还原被测信号的全部信息,无法测量谐波等参数,但是功率测量本身是一种稳态测量,所以功率分析仪依然可以准确测量被测信号的有效值和功率等稳态参数。
功率分析仪带宽、采样率影响的功能和参数
带宽、采样率是功率分析仪的基本参数,与功率分析仪的功能和参数直接相关的,但是带宽、采样率并不能够决定性能的好坏,只有是会影响其应用的范围。实际使用并不是带宽越宽越好,而是选择合适的,带宽过大,相对噪声就大,测量精度就会降低。功率测量精度降低,谐波测量精度也会降低,同时由于混叠的存在,所以THD测量会可能偏大。相同带宽情况下,如果仪器的本体噪声相同,则采样率越高,对被测的模拟信号离散化的信息就越多,越接近被测的模拟信号,从而保证测量精度也越高。
功率分析仪的采样率在不同测量模式下会有区别:一是在基本测量模式下采用固定的采样频率,二是在谐波测量模式下,采用锁相倍频方式,采样率与输入信号频率相关。
PA6000功率分析仪谐波测试时,采样率和时间窗口如下:
功率分析仪参数对比

